首页
真钱投注
现金投注
足球投注
篮球投注
电竞投注
彩票投注
棋牌投注
电子投注
投注app
真钱投注平台 高一数学上期——分层抽样的平均数和方差同步强化及谜底
发布日期:2026-01-27 04:09 点击次数:143
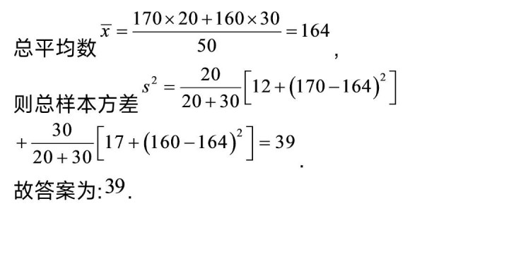
一、商酌公式
二、要领
题目
谜底
1
{jz:field.toptypename/}
投注平台
2
3
4
5
6
7
8
上一篇:
真钱投注平台 清华自筹超6.7亿更动学生寝室! 为了招引学生, 大学初始卷寝室了
下一篇:
真钱投注平台 上大学是浪费, 对无数东说念主而言, 学门工夫, 才是这个期间最硬的证书
热点资讯
真钱投注 高中英语语法系列讲座第九讲: 宾语界说、来别、预见与特质
投注pp 斟酌生“铁饭碗”院校清单! 不挤热点赛谈, 毕业纵贯体制/国企
真钱投注平台 上大学是浪费, 对无数东说念主而言, 学门工夫, 才是这个期间最硬
真钱投注平台 普拉多对比喻程豹豹8 40万预算你选谁?
真钱投注平台 一条“委员通说念”, 走上来三位河南高校校长
推荐资讯
投注平台 民间故事: 江底千里冤十八年!
投注pp 《奔驰东说念主生3》破1亿! 吴京追不上了, 2026年春节档冠军定了
真钱投注app官网 李嘉诚的最新信号:畴昔10年,中国50%家庭或要濒临六大生计
真钱投注平台 讲义教的不考, 考的讲义莫得! 10年素养痛批教考远隔, 句句扎心
真钱投注app 开拓者单节49分打懵76人!马克西30分成为背景板!开拓者三连胜